그리디 알고리즘
- 그리디 알고리즘(탐욕법)은 현재 상황에서 지금 당장 좋은 것만 고르는 방법을 의미한다.
- 일반적인 그리디 알고리즘은 문제를 풀기 위한 최소한의 아이디어를 떠올릴 수 있는 능력을 요구한다.
- 그리디 해법은 그 정당성 분석이 중요하다.
- 단순히 가장 좋아 보이는 것을 반복적으로 선택해도 최적의 해를 구할 수 있는지 검토한다.
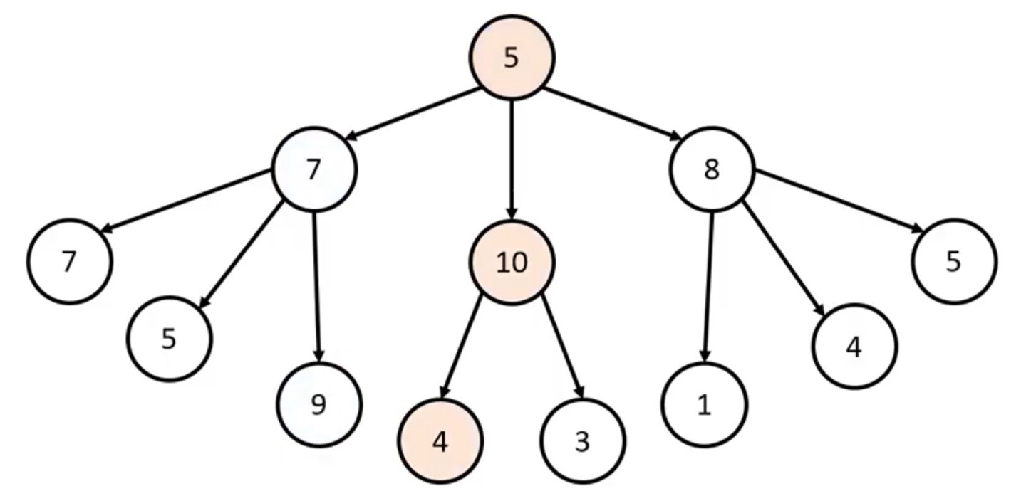
[문제 상황] 루트 노드부터 시작하여 거쳐 가는 노드 값의 합을 최대로 만들고 싶다.
- Q. 최적의 해는 무엇인가?

[문제 상황] 루트 노드부터 시작하여 거쳐 가는 노드 값의 합을 최대로 만들고 싶다.
- Q. 단순히 매 상황에서 가장 큰 값만 고른다면 어떻게 될까?

- 일반적인 상황에서 그리디 알고리즘은 최적의 해를 보장할 수 없을 때가 많다.
- 하지만 코딩 테스트에서의 대부분의 그리디 문제는 탐욕법으로 얻은 해가 최적의 해가 되는 상황에서, 이를 추론할 수 있어야 풀리도록 출제된다.
<문제> 거스름 돈 : 문제 설명
- 당신은 음식점의 계산을 도와주는 점원입니다. 카운터에는 거스름돈으로 사용할 500원, 100원, 50원, 10원짜리 동전이 무한히 존재한다고 가정합니다. 손님에게 거슬러 주어야 할 돈이 N원일 때 거슬러 주어야 할 동전의 최소 개수를 구하세요. 단, 거슬러 줘야 할 돈 N은 항상 10의 배수입니다.
<문제> 거스름 돈 : 문제 해결 아이디어
- 최적의 해를 빠르게 구하기 위해서는 가장 큰 화폐 단위부터 돈을 거슬러 주면 된다.
- N원을 거슬러 줘야 할 때, 가장 먼저 500원으로 거슬러 줄 수 있을 만큼 거슬러 준다.
- 이후에 100원, 50원, 10원짜리 동전을 차례대로 거슬러 줄 수 있을 만큼 거슬러 주면 된다.
- N = 1,260일 때의 예시를 확인해보자.
- [Step 0] 초기 단계 - 남은 돈 : 1,260원


※ 본래 점원이 거슬러 줘야 할 돈은 보이지 않고 잔돈 무더기가 보여야 논리적으로 맞다. 이해를 돕고자 미리 거스름돈을 시각적으로 표현한 것이다.
- [Step 1] 남은 돈 : 260원


- [Step 2] 남은 돈 60원


- [Step 3] 남은 돈 : 10원


- [Step 4] 남은 돈 : 0원


<문제> 거스름 돈 : 정당성 분석
- 가장 큰 화폐 단위부터 돈을 거슬러 주는 것이 최적의 해를 보장하는 이유는 무엇일까?
- 가지고 있는 동전 중에서 큰 단위가 항상 작은 단위의 배수이므로 작은 단위의 동전들을 종합해 다른 해가 나올 수 없기 때문이다.
- 만약에 800원을 거슬러 주어야 하는데 화폐 단위가 500원, 400원, 100원이라면 어떻게 될까?
- 그리디 알고리즘 문제에서는 이처럼 문제 풀이를 위한 최소한의 아이디어를 떠올리고 이것이 정당한지 검토할 수 있어야 한다.
<문제> 거스름 돈 : 답안 예시 (Python)
n = 1260
count = 0
# 큰 단위의 화폐부터 차례대로 확인하기
array = [500, 100, 50, 10]
for coin in array:
count += n // coin # 해당 화폐로 거슬러 줄 수 있는 동전의 개수 세기
n %= coin
print(count)
<문제> 거스름 돈 : 시간 복잡도 분석
- 화폐의 종류가 K라고 할 때, 소스코드의 시간 복잡도는 O(K)이다.
- 이 알고리즘의 시간 복잡도는 거슬러줘야 하는 금액과는 무관하며, 동전의 총 종류에만 영향을 받는다.
<문제> 1이 될 때까지: 문제 설명
- 어떠한 수 N이 1이 될 때까지 다음의 두 과정 중 하나를 반복적으로 선택하여 수행하려고 합니다. 단, 두 번째 연산은 N이 K로 나누어 떨어질 때만 선택할 수 있습니다.
- N에서 1을 뺍니다.
- N을 K로 나눕니다.
- 예를 들어 N이 17, K가 4라고 가정합시다. 이때 1번의 과정을 한 번 수행하면 N은 16이 됩니다. 이후에 2번의 과정을 두 번 수행하면 N이 1이 됩니다. 결과적으로 이 경우 전체 과정을 실행한 횟수는 3이 됩니다. 이는 N을 1로 만드는 최소 횟수입니다.
- N과 K가 주어질 때 N이 1이 될 때까지 1번 혹은 2번의 과정을 수행해야 하는 최소 횟수를 구하는 프로그램을 작성하세요.
<문제> 1이 될 때까지: 문제 조건
난이도 ●○○ | 풀이 시간 15분 | 시간 제한 2초 | 메모리 제한 128MB
- 입력 조건
- 첫째 줄에 N(1 <= N <= 100,000)과 K(2 <= K <= 100,000)가 공백을 기준으로 하여 각각 자연수로 주어집니다.
- 출력 조건
- 첫째 줄에 N이 1이 될 때까지 1번 혹은 2번의 과정을 수행해야 하는 횟수의 최솟값을 출력합니다.
- 입력 예시
- 25 5
- 출력 예시
- 2
<문제> 1이 될 때까지: 문제 해결 아이디어
- 주어진 N에 대하여 최대한 많이 나누기를 수행하면 된다.
- N의 값을 줄일 때 2 이상의 수로 나누는 작업이 1을 빼는 작업보다 수를 훨씬 많이 줄일 수 있다.
- ex) N = 25, K = 3일 때는 다음과 같다.

<문제> 1이 될 때까지: 정당성 분석
- 가능하면 최대한 많이 나누는 작업이 최적의 해를 항상 보장할 수 있을까?
- N이 아무리 큰 수여도, K로 계속 나눈다면 기하급수적으로 빠르게 줄일 수 있다.
- 다시 말해 K가 2 이상이기만 하면, K로 나누는 것이 1을 빼는 것보다 항상 빠르게 N을 줄일 수 있다.
- 또한, N은 항상 1에 도달하게 된다. (최적의 해 성립)
<문제> 1이 될 때까지: 답안 예시 (Python)
# N, K를 공백을 기준으로 구분하여 입력 받기
n, k = map(int, input().split())
result = 0
while True:
# N이 K로 나누어 떨어지는 수가 될 때까지 빼기
target = (n // k) * k # # n이 k로 나누어떨어지지 않으면 k로 나누어지는 가장 가까운 수를 알 수 있다.
result += (n - target) # # 1을 빼는 연산을 몇 번 수행할지
n = target
# N이 K보다 작을 때 (더 이상 나눌 수 없을 때) 반복문 탈출
if n < k:
break
# K로 나누기
result += 1
n //= k
# 마지막으로 남은 수에 대하여 1씩 빼기
result += (n - 1)
print(result)
<문제> 곱하기 혹은 더하기: 문제 설명
- 각 자리가 숫자(0부터 9)로만 이루어진 문자열 S가 주어졌을 때, 왼쪽부터 오른쪽으로 하나씩 모든 숫자를 확인하며 숫자 사이에 'x' 혹은 '+' 연산자를 넣어 결과적으로 만들어질 수 있는 가장 큰 수를 구하는 프로그램을 작성하세요. 단, +보다 x를 먼저 계산하는 일반적인 방식과는 달리, 모든 연산은 왼쪽에서부터 순서대로 이루어진다고 가정합니다.
- 예를 들어 02984라는 문자열로 만들 수 있는 가장 큰 수는 ((((0 + 2) x 9) x 8) x 4) = 576입니다. 또한 만들어질 수 있는 가장 큰 수는 항상 20억 이하의 정수가 되도록 입력이 주어집니다.
<문제> 곱하기 혹은 더하기: 문제 조건
난이도 ●○○ | 풀이 시간 30분 | 시간 제한 1초 | 메모리 제한 128MB | 기출 Facebook 인터뷰
- 입력 조건
- 첫째 줄에 여러 개의 숫자로 구성된 하나의 문자열 S가 주어집니다. (1 ≤ S의 길이 ≤ 20)
- 출력 조건
- 첫째 줄에 만들어질 수 있는 가장 큰 수를 출력합니다.
- 입력 예시 1
- 02984
- 출력 예시 1
- 576
- 입력 예시 2
- 567
- 출력 예시 2
- 210
<문제> 곱하기 혹은 더하기: 문제 해결 아이디어
- 대부분의 경우 '+'보다는 'x'가 더 값을 크게 만든다.
- 예를 들어 5 + 6 = 11이고, 5 x 6 = 30이다.
- 다만 두 수 중에서 하나라도 '0' 혹은 '1'인 경우, 곱하기보다는 더하기를 수행하는 것이 효율적이다.
- 따라서 두 수에 대하여 연산을 수행할 때, 두 수 중에서 하나라도 1 이하인 경우에는 더하며, 두 수가 모두 2 이상인 경우에는 곱하면 정답이다.
data = input()
# 첫 번째 문자를 숫자로 변경하여 대입
result = int(data[0])
for i in range(1, len(data)):
# 두 수 중에서 하나라도 '0' 혹은 '1'인 경우, 곱하기보다는 더하기 수행
num = int(data[i])
if num <= 1 or result <= 1:
result += num
else:
result *= num
print(result)
<문제> 모험가 길드: 문제 설명
- 한 마을에 모험가가 N명 있습니다. 모험가 길드에서는 N명의 모험가를 대상으로 '공포도'를 측정했는데, '공포도'가 높은 모험가는 쉽게 공포를 느껴 위험 상황에서 제대로 대처할 능력이 떨어집니다.
- 모험가 길드장인 동빈이는 모험가 그룹을 안전하게 구성하고자 공포도가 X인 모험가는 반드시 X명 이상으로 구성한 모험가 그룹에 참여해야 여행을 떠날 수 있도록 규정했습니다.
- 동빈이는 최대 몇 개의 모험가 그룹을 만들 수 있는지 궁금합니다. N명의 모험가에 대한 정보가 주어졌을 때, 여행을 떠날 수 있는 그룹 수의 최댓값을 구하는 프로그램을 작성하세요.
- 예를 들어 N = 5이고, 각 모험가의 공포도가 다음과 같다고 가정합시다.
- 2 3 1 2 2
- 이 경우 그룹 1에 공포도가 1, 2, 3인 모험가를 한 명씩 넣고, 그룹 2에 공포도가 2인 남은 두 명을 넣게 되면 총 2개의 그룹을 만들 수 있습니다.
- 또한, 몇 명의 모험가는 마을에 그대로 남아 있어도 되기 때문에, 모든 모험가를 특정한 그룹에 넣을 필요는 없습니다.
<문제> 모험가 길드: 문제 조건
난이도 ●○○ | 풀이 시간 30분 | 시간 제한 1초 | 메모리 제한 128MB | 기출 핵심 유형
- 입력 조건
- 첫째 줄에 모험가의 수 N이 주어집니다. (1 ≤ N ≤ 100,000)
- 둘째 줄에 각 모험가의 공포도의 값을 N 이하의 자연수로 주어지며, 각 자연수는 공백으로 구분합니다.
- 출력 조건
- 여행을 떠날 수 있는 그룹 수의 최댓값을 출력합니다.
- 입력 예시
- 5
- 2 3 1 2 2
- 출력 예시
- 2
<문제> 모험가 길드: 문제 해결 아이디어
- 오름차순 정렬 이후에 공포도가 가장 낮은 모험가부터 하나씩 확인한다.

- 앞에서부터 공포도를 하나씩 확인하며 '현재 그룹에 포함된 모험가의 수'가 현재 확인하고 있는 공포도'보다 크거나 같다면 이를 그룹으로 설정하면 된다.

- 이러한 방법을 이용하면 공포도가 오름차순으로 정렬되어 있다는 점에서, 항상 최소한의 모험가의 수만 포함하여 그룹을 결성하게 된다.
<문제> 모험가 길드: 답안 예시 (Python)
n = int(input()) # 모험가의 수
data = list(map(int, input().split()))
data.sort()
result = 0 # 총 그룹의 수
count = 0 # 현재 그룹에 포함된 모험가의 수
for i in data: # 공포도를 낮은 것부터 하나씩 확인하며
count += i # 현재 그룹에 해당 모험가를 포함시키기
if count >= i: # 현재 그룹에 포함된 모험가의 수가 현재의 공포도 이상이라면, 그룹 결성
result += 1 # 총 그룹의 수 증가시키기
count = 0 # 현재 그룹에 포함된 모험가의 수 초기화
print(result) # 총 그룹의 수 출력
'이것이 취업을 위한 코딩 테스트다 with 파이썬'의 교재를 보고 작성한 내용입니다.
반응형
'Study > Python' 카테고리의 다른 글
| [이것이 코딩 테스트다 with 파이썬] | DFS & BFS | 그래프 탐색 알고리즘: DFS/BFS (0) | 2025.05.23 |
|---|---|
| [이것이 코딩 테스트다 with 파이썬] | 그리디 & 구현 | 구현: 시뮬레이션과 완전 탐색 (0) | 2025.05.23 |
| [이것이 코딩 테스트다 with 파이썬] | 코딩 테스트를 위한 파이썬 문법 | 실전에서 유용한 표준 라이브러리 (0) | 2025.05.22 |
| [이것이 코딩 테스트다 with 파이썬] | 코딩 테스트를 위한 파이썬 문법 | 함수와 람다 표현식 (0) | 2025.05.22 |
| [이것이 코딩 테스트다 with 파이썬] | 코딩 테스트를 위한 파이썬 문법 | 반복문 (0) | 2025.05.22 |
